Menu

UHPC的疲劳性能(四)

发布时间:2018-01-29

/ 曹君辉 邵旭东

复核/ 黄政宇


引言

通过对UHPC材料和构件疲劳性能的研究,目前法国、日本、瑞士、欧洲等国家和地区的规范/规程中给出了UHPC结构的疲劳设计方法。这些规范均指出,疲劳设计属于承载能力极限状态验算范畴,对于UHPC结构的安全性至关重要。本期对这些规范/规程中的疲劳设计方法进行归纳,并向大家分享相关研究成果。


1

法国UHPC规范

法国于2016年颁布了两部UHPC规范,其中NF P 18-470对UHPC的材料性能进行了规定,NF P 18-710则对UHPC结构设计进行了规定。UHPC结构疲劳设计的总体原则是,通过计算得到结构的受压/受拉疲劳应力,并控制最大疲劳应力不超过UHPC的疲劳强度,以确保结构的抗疲劳安全性。


法国UHPC结构设计规范NF P 18-710规定,当结构的疲劳应力满足如下条件时,可不对UHPC和钢筋进行疲劳验算:


1)当UHPC结构受压时,在正常使用极限状态特征荷载组合下,UHPC的压应力满足σc0.6fck,式中σc为UHPC在上述荷载下的最大压应力,fck为UHPC的静力抗压强度特征值;


2)对于UHPC截面中的受拉钢筋,在正常使用极限状态特征荷载组合下,钢筋拉应力σs<300MPa。


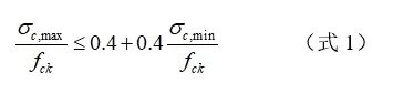
当上述条件不满足时,须对UHPC结构进行疲劳验算。对于抗压,UHPC的疲劳验算应满足式(1):

式中,σc,max为频遇荷载组合下UHPC结构中的最大压应力;σc,min为频遇荷载组合下UHPC结构中的最小压应力,当计算σc,min为拉应力时,应取σc,min=0;fck为UHPC的静力抗压强度特征值。


而对于抗拉,当UHPC在正常使用极限状态特征荷载组合下的拉应力不超过0.95min(fctk,el,fctfk/K)时,可认为UHPC的抗拉疲劳强度满足设计要求。这里是fctk,el指UHPC的弹性抗拉强度特征值,fctfk指UHPC的极限抗拉强度特征值;K是指钢纤维分布对UHPC轴拉裂后性能的影响系数。需要说明的是,UHPC的轴拉强度值既可根据轴拉试验得到,也可根据四点弯曲试验换算得到,具体可参考UHPC材料规范NF P 18-470中附件D的有关规定。


2

日本UHPC规程

日本于2008年颁布了UHPC结构设计规程,其中疲劳设计是结构安全性验算的重要组成部分。由于UHPC受力复杂,该规程建议一般通过疲劳试验确定UHPC的疲劳强度,且在试验中需考虑结构的暴露环境。


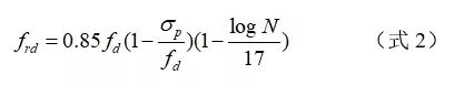
当未进行疲劳试验时,UHPC的轴压或弯压疲劳强度设计值可通过式(2)确定。具体而言,UHPC的疲劳强度与疲劳寿命N及恒载引起的应力σp有关。但该规程同时指出,当UHPC结构持续或经常泡在水中时,需要开展疲劳试验。

式中,frd 为UHPC的抗压疲劳强度设计值;fd为UHPC的抗压强度设计值,需考虑1.3的材料分项系数;σp为UHPC结构中恒载引起的应力;N为UHPC结构的疲劳寿命。


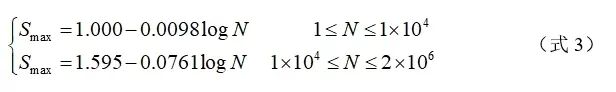
而对于UHPC的抗弯拉疲劳设计,该规程未做出明确规定,仅根据试验结果给出了S-N曲线方程。疲劳试验结果表明,这种UHPC的S-N曲线呈双线性,如式(3)所示。当UHPC的弯拉应力比Smax不超过0.5时,UHPC结构的疲劳寿命将超过200万次,可不进行疲劳验算。

规程还详细给出了UHPC结构的疲劳设计流程,如图1所示,可供设计人员参考。


图1. UHPC结构疲劳极限状态设计流程图


3

瑞士UHPC规程

瑞士于2016年颁布了UHPC结构设计规程。该规程中,结构安全性验算包含四个重要方面,即截面失效、结构失稳、连接失效及疲劳。总体而言,UHPC结构的疲劳验算视配筋情况而定:未配筋时,应按UHPC材料的疲劳性能进行验算,而对于配筋UHPC结构,应按配筋构件的疲劳性能进行验算。


根据瑞士规程,UHPC材料的抗拉疲劳强度由式(4)计算确定:

式中,σU,D为UHPC的疲劳极限强度;fUtek为UHPC的弹性抗拉强度特征值;fUtuk为UHPC的极限抗拉强度特征值。


对于无配筋UHPC受弯构件,应基于UHPC材料的疲劳性能进行疲劳验算,并满足式(5):

式中,σU,D为UHPC的疲劳极限强度,按式(4)计算;σUfat,max为UHPC结构中恒载、疲劳荷载共同作用下的最大拉应力。


而对于配筋UHPC结构,应基于结构的疲劳性能进行疲劳验算。具体地,配筋UHPC受弯构件的疲劳验算应满足式(6):

式中,MR,D为配筋UHPC构件的抗弯疲劳极限弯矩;MR,d为UHPC构件的抗弯承载力设计值。


4

CEB-FIP Mode Code 2010

早在1993年,欧洲混凝土委员会便编制了混凝土结构设计规范(Mode Code 90)。但该规范中涉及的混凝土为普通混凝土和高强混凝土,强度等级不超过80 MPa。随着UHPC的出现,水泥基复合材料的抗压强度超过150 MPa,甚至可达200 MPa。因此,Mode Code 90中的计算公式是否可用于UHPC,成为学者们关心的问题。


Ludger Lohaus等对UHPC进行了轴压疲劳试验,并通过深入分析,提出了计算公式。研究中,作者将水泥基复合材料的抗压疲劳设计方法拓展到强度高达200 MPa的UHPC,目前相关成果已被欧洲混凝土委员会采纳,形成了新的混凝土规范(CEB-FIP Mode Code 2010),下面进行详细介绍。


该疲劳试验中所采用的试件为Φ60×180mm的圆柱体试件,共涉及两种UHPC,最大骨料尺寸分别为0.5mm和8mm。这两种UHPC的抗压强度相近,分别为160 MPa和180 MPa。UHPC中所掺入的纤维为平直钢纤维,直径和长度分别为0.15mm和9m,长径比为60。根据试验结果,两组UHPC的疲劳性能没有显著差异,因此,作者对两种UHPC的试验结果汇总后统一分析。


一般而言,混凝土材料的疲劳性能与最大和最小应力均有关。因此,该研究中的疲劳模型综合考虑了Wholer曲线和Goodman曲线,如图2所示,以便完整地描述UHPC的疲劳行为,并准确定义UHPC在轴压疲劳荷载下的破坏准则。

图2. 混凝土完整的疲劳模型示意图


基于试验结果,作者拟合得到了UHPC的抗压疲劳S-N曲线,并将试验结果与Mode Code 90中的混凝土疲劳计算公式进行了对比。结果表明,当UHPC中的最大应力水平较高时,基于试验数据拟合的疲劳寿命高于Mode Code 90规范预测的疲劳寿命,而当最大应力水平较低时(此时疲劳寿命超过108次),基于试验数据拟合的疲劳寿命低于现行规范。

图3. 试验拟合曲线与Mode Code 90规范曲线对比


因此, Mode Code 90中对普通混凝土和高强混凝土疲劳性能的规定不能简单外延到UHPC,否则可能会在结构设计中引起偏差。因此,作者基于疲劳试验数据提出了新的计算公式。


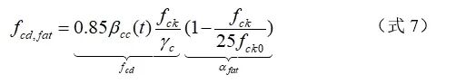
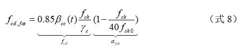
在Mode Code 90中,混凝土结构的疲劳强度计算公式如式(7)所示:

式中,fcd,fat 为混凝土抗压疲劳强度设计值;fck为抗压强度标准值;fck0为抗压强度基准值,取为10 MPa;βcc(t)为考虑混凝土水化过程的强度增长系数;γc为材料分项系数,取1.5。


为确保新公式在形式上与现有公式一致,作者仍借鉴了上述公式的模式,并结合试验数据修正了公式中的主要系数,如式(8)所示。

新公式与Mode Code 90中原公式的对比如图4所示。不难看出,新公式具有良好的可靠性,既可用于高强混凝土(C70-C80),也可用于抗压强度高达200 MPa的UHPC。

图4. 新公式与Mode Code 90规范公式对比


在此基础上,作者提出了UHPC结构的疲劳设计方法,具体如下:

1)当UHPC结构中的最大疲劳压应力满足以下条件时,可不进行疲劳验算:

其中,γsd为荷载分项系数,一般取为1.1或1.0;σc,max为疲劳荷载引起UHPC结构中的最大压应力;ηc为计算系数,可按Mode Code 90中公式6.7-2计算;fcd,fat为UHPC的疲劳强度设计值,计算过程如式(8)所示。


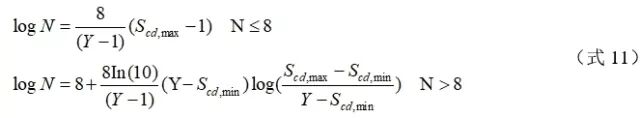
2)当不满足上述条件时,需对UHPC结构的疲劳寿命进行验算,计算结果应满足式(10):

其中,疲劳寿命N的计算过程视情况而定:当0≤Scd,min≤0.8时,按式(11)进行计算,而当0.8<Scd,min时,取Scd,min=0.8。

式中,Scd,min为疲劳荷载引起的最小压应力,Scd,min=γsd σc,min ηc / fcd,fatScd,max为疲劳荷载引起的最大压应力,Scd,max=γsd σc,max ηc / fcd,fatγsd为荷载分项系数;ηc为计算系数;Y同样为计算系数,计算公式如式(12)所示。

3)当以上条件都不满足时,需通过计算得到完整的应力谱,并需根据Miner线性疲劳累计损伤准则按式(13)进行验算:

式中,D为疲劳荷载引起的损伤度;Dlim为极限损伤度,一般取1.0;nsi为第i级应力水平的作用次数;nRi为第i级应力水平对应的疲劳寿命,按式(11)计算。

关于我们
公司介绍
发展历程
组织架构
专家团队
成果荣誉
新闻动态
公司新闻
学习专区
工程回访
核心技术
钢-STC 轻型组合桥面结构
气泡混合轻质土
UHPC 新桥梁结构
工程业绩
钢-STC 轻型组合桥面结构
气泡混合轻质土
联系我们
联系方式
人才招聘
在线留言

客服热线

Tel:020-34619102

E-mail:guansheng2004@yeah.com

地址:广州市番禺区石碁镇

华创产业园西塔1205单元

粤ICP备19120857号


微信官方公众号 ID:广东冠生土木工程技术有限公司
Copyright © 2017 广东冠生土木技术有限公司 版权所有
粤ICP备2025399444号-1